03深层神经网络

参考文章:https://zhuanlan.zhihu.com/p/29738823
深层神经网络模型:
看完前面的两个部分,这个深层神经网络就比较简单,原理相同。
1、参数矩阵维度

2、前向和反向传播
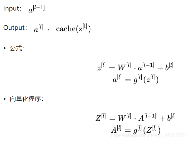
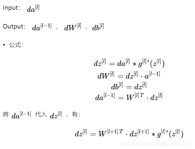
给定参数:

- 前向传播

- 反向传播


3、为什么要用深层表示

对于人脸识别,神经网络的第一层从原始图片中提取人脸的轮廓和边缘,每个神经元学习到不同边缘的信息;网络的第二层将第一层学得的边缘信息组合起来,形成人脸的一些局部的特征,例如眼睛、嘴巴等;后面的几层逐步将上一层的特征组合起来,形成人脸的模样。随着神经网络层数的增加,特征也从原来的边缘逐步扩展为人脸的整体,由整体到局部,由简单到复杂。层数越多,那么模型学习的效果也就越精确。
对于语音识别,第一层神经网络可以学习到语言发音的一些音调,后面更深层次的网络可以检测到基本的音素,再到单词信息,逐渐加深可以学到短语、句子。
所以从上面的两个例子可以看出随着神经网络的深度加深,模型能学习到更加复杂的问题,功能也更加强大。
对于逻辑电路
假定计算异或逻辑输出:
对于该运算,若果使用深度神经网络,每层将前一层的相邻的两单元进行异或,最后到一个输出,此时整个网络的层数为一个树形的形状,网络的深度为 [公式] ,共使用的神经元的个数为:
即输入个数为n,输出个数为n-1。
但是如果不适用深层网络,仅仅使用单隐层的网络(如右图所示),需要的神经元个数为  个 。同样的问题,但是深层网络要比浅层网络所需要的神经元个数要少得多。
4、参数和超参数

转载请注明来源,欢迎对文章中的引用来源进行考证,欢迎指出任何有错误或不够清晰的表达。可以在下面评论区评论,也可以邮件至 2470290795@qq.com
文章标题:03深层神经网络
文章字数:538
本文作者:runze
发布时间:2020-02-12, 11:12:53
最后更新:2020-02-23, 08:29:29
原始链接:http://yoursite.com/2020/02/12/%E5%90%B4%E6%81%A9%E8%BE%BE%20%E6%B7%B1%E5%BA%A6%E5%AD%A6%E4%B9%A0/01%E7%A5%9E%E7%BB%8F%E7%BD%91%E7%BB%9C%E5%92%8C%E6%B7%B1%E5%BA%A6%E5%AD%A6%E4%B9%A0/03%E6%B7%B1%E5%B1%82%E7%A5%9E%E7%BB%8F%E7%BD%91%E7%BB%9C/版权声明: "署名-非商用-相同方式共享 4.0" 转载请保留原文链接及作者。
 
            